【导语】:2026年4月上海市高等教育自学考试全国统考和市级统考课程教材考纲书目表公布,具体如下。
上海市2026年4月高等教育自学考试将于4月11日-12日举行,全国统考和市级统考课程教材考纲书目表公布,具体如下。
2026年4月上海市高等教育自学考试教材考纲书目表
一、全国统考





二、市级统考





附件:
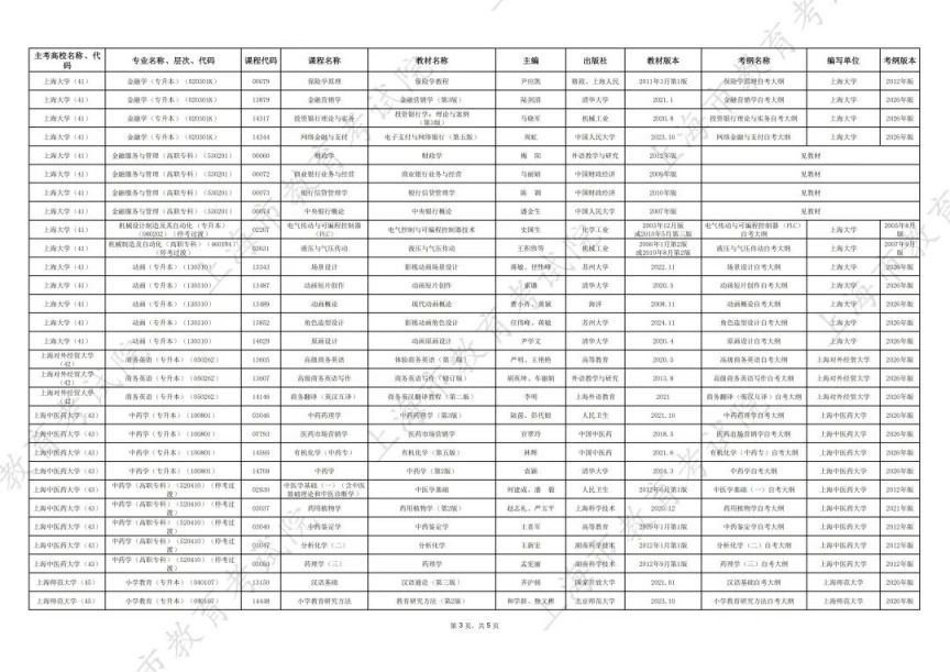
1.2026年4月上海市高等教育自学考试全国统考课程教材考纲书目表
2.2026年4月上海市高等教育自学考试市级统考课程教材考纲书目表
【导语】:2026年4月上海市高等教育自学考试全国统考和市级统考课程教材考纲书目表公布,具体如下。
上海市2026年4月高等教育自学考试将于4月11日-12日举行,全国统考和市级统考课程教材考纲书目表公布,具体如下。
2026年4月上海市高等教育自学考试教材考纲书目表
一、全国统考





二、市级统考





附件:
1.2026年4月上海市高等教育自学考试全国统考课程教材考纲书目表
2.2026年4月上海市高等教育自学考试市级统考课程教材考纲书目表
2025年下半年高等教育自学考试免考申请时间:12月1日-12月7日,考生可以登录上海市高等教育自学考试考生服务平台(https://ste.shmeea.edu.cn)提交“免考申请”,具体方式如下。
上海市2026年4月高等教育自学考试各专业课程考试日程安排公布,考试将于4月11日-12日举行,日程安排如下。
上海自考成绩查询入口官网:上海市教育考试院官网、上海市高等教育自学考试考生服务平台,官网入口如下。
上海市2025年下半年高等教育自学考试成绩11月27日开通查询,查询官网为:上海市教育考试院官网(https://www.shmeea.edu.cn)。
上海市2025年下半年高等教育自学考试成绩11月27日上午10:00开通查询,查询官网为:上海市教育考试院官网、上海市高等教育自学考试考生服务平台。
上海市2025年下半年高等教育自学考试成绩将于11月27日公布,考生可登录上海市教育考试院官网、上海市高等教育自学考试考生服务平台查询成绩。
报考成功的考生可于10月20日10:00起登录上海市教育考试院官网(https://www.shmeea.edu.cn/)打印转考证。
上海自考报名官网入口:https://zkbm.shmeea.edu.cn/login。进入路径:上海教育考试院官网-【考试报名】-【上海市2025年下半年高等教育自学考试报名】。
上海市2025年下半年高等教育自学考试准考证下载打印时间:10月20日10:00起,打印入口如下。
上海市高等教育自学考试一年举办2次,分别为4月和10月。4月考试时间公布,10月考试时间待官方公布。
2025年10月上海市高等教育自学考试各专业课程考试日程安排表公布,考试时间为:10月25日、10月26日、11月1日。
根据本市高等教育自学考试工作安排,将开展2025年上半年高等教育自学考试免考和毕业申请工作,免考申请时间5月26日-6月2日,毕业申请时间6月14日-6月22日,申请方式如下。
2025-12-15 10:52 来源:上海本地宝综合
2025-12-15 10:42 来源:上海教育考试院
2025-12-12 17:17 来源:上海嘉定区教育局官网
2025-12-12 17:05 来源:嘉定区教育局官网
2025-12-12 10:49 来源:注会协会官网
2025-12-12 10:26 来源:上海本地宝综合
2025-12-12 10:09 来源:上海本地宝综合
2025-12-12 09:56 来源:中国注册会计师协会
2025-12-11 14:38 来源:青春闵行
2025-12-11 14:21 来源:上海教育考试院
【导语】:2026年4月上海市高等教育自学考试全国统考和市级统考课程教材考纲书目表公布,具体如下。
上海市2026年4月高等教育自学考试将于4月11日-12日举行,全国统考和市级统考课程教材考纲书目表公布,具体如下。
2026年4月上海市高等教育自学考试教材考纲书目表
一、全国统考





二、市级统考





附件: